Machine Foundation and Vibration Analysis
Machine Foundation is dependent on dynamic loads. Vibratory motions are formed with these loads which are transferred into the soil underneath the foundation. The principles of soil dynamics and theory of vibrations are used to evaluate the effect produced by these vibrations on soil.
Types of Vibrations in Machine Foundation - Generally two types of vibrations occur in machine foundation:
? Free vibration
? Forced vibration
Free Vibration in Machine Foundation: Free vibrations happen devoid of any external force and under the impact of forces in the system itself. But for free vibrations, at the outset an external force or natural disturbance is necessary. Free vibrations are categorized as :-
? Damped vibrations
? Undamped vibrations
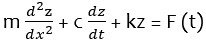
Forced Vibration in Machine Foundation: Forced vibrations happen with nonstop external forces on machine foundation. As for instance, a damped system is dependent o exciting force F(t). The equation of motion is composed as 
Vibration Analysis of Machine Foundation: In order to evaluate the vibration theory of machine foundation, it is supposed that the machine foundation contains single degree of freedom. Generally, machine foundation consists of 6 degree of freedom.
Suppose, a machine foundation is laid on soil mass, now the mass of machine and foundation performs downwards jointly and it is taken as mf which functions at the center of gravity of the system. The mass of soil which functions upwards is taken as ms., the elastic action of soil because of vibration of system is subjected to stiffness k. Resistance against motion is subjected to damping coefficient c.
Therefore, these three mass, stiffness and damping coefficient are essential to accomplish the analysis of machine foundation. Determination of above parameters is illustrated below.
To read the complete article, go through the following link theconstructor.org

Image Courtesy: theconstructor.org

